This is an updated version of an article first appearing in the Echo Regional Magazine July 2018. My wife of 29 years, Cathy Liston was diagnosed with terminal Lung Cancer in April, 2017 and died February 24, 2019.
In July of 2018 my wife Cathy Liston left our mountainside home to walk some five miles to Eagle River Walmart in stocking feet carrying a plastic bag filled with cleaning supplies and her purse. I followed in our truck urging her to get aboard and kind neighbors finally intercepted Cathy.
Planning for death is against human nature. My parents didn’t do it even though they lived well into their 80s. My theory is that Donald Liston, Sr. wanted his three offspring to fight over his massive array of junk until only the attorneys won. As Executor of my parent’s estate, I fired both of my sister’s previous choices for attorneys and picked one who helped me close it out.
When my sister complained at my action, I revealed my theory of Dad’s wishes and told her: “Sue me.”
My wife Cathy and I had no wills either, although I prepared drafts of what we had talked about doing, and attempted on many occasions to work them out together. With her diagnosed terminal cancer–the act of finalizing wills became too difficult to consider.
And, my life became ever MORE complicated as Cathy’s illness progressed.
(Advertising available for estate planning lawyer here.)
Early American Transcendentalist writer Henry David Thoreau believed strongly in the power of nature and living simply. In his work Walden, Thoreau wrote: I went to the woods because I wished to live deliberately, to front only the essential facts of life, and see if I could not learn what it had to teach, and not, when I came to die, discover that I had not lived.
Henry David Thoreau was a writer who reflected early American values.
From an early time in my adulthood this notion of living life deliberately has resonated with me, although I have developed a touch of cynicism about Thoreau, who lived two years in a cabin on Walden Pond–that he mooched use of from a friend–to write about being ever so independent and otherworldly.
From Wikipedia: By immersing himself in nature, Thoreau hoped to gain a more objective understanding of society through personal introspection. Simple living and self-sufficiency were Thoreau’s other goals, and the whole project was inspired by Transcendentalist Philosophy, a central theme of the American Romantic Period.
The American Romantic Period is Long Past and USA Conspicuous Consumption has Replaced Simple Living
Before I married Cathy I had been living on a 24-ft sailboat in the various harbors around Juneau five years; living simply year-round, through storms and sunny days, launching frequently with a half-rack of beer on a Friday, to sail around the area and return Monday morning, motoring up Gastineau Channel to face life’s details always demanding my attention on shore.
The brass plaque on that boat said:
Time spent sailing is not deducted from your lifetime.
That was living!
But the one thing I missed in this idyllic lifestyle was my library of history and classic literature. I also owned an old Canadian Army surplus ”Loadstar” box truck (with a lift gate!) where I kept all my stuff in storage. It had to be moved frequently and any books taken to my boat had to be in plastic bags–one or two at a time–or they would disintegrate in the moisture.
So, when I determined I needed a place to keep and savor my books I ended up renting a 5th floor efficiency apartment near the capitol, which happened to be across the hall from Cathy’s apartment.
There, one thing led to another…
Cat’s youngest daughter had just graduated from Juneau-Douglas High School and moved to Washington by the time we got married. I had no kids; Cat made it clear to me that she would have had nothing to do with ME if I had kids. In our pact I also made it clear to HER that I was marrying HER and not her kids: “You can tell them or I will,” I said.
The two older kids got the message, but the youngest one is very needy and inclined toward dependency—instead of living life deliberately.

A lot of things can happen over 29 years of absolute commitment to a person you love and cherish. Cat’s youngest daughter will not likely ever understand this because she was on husband #3 and had four children from her serial monogamy. She usually moves on from a marriage when the child(ren) are in elementary school.
I have tried to get along with this woman, and we forgave the loans we provided to attend college in Washington, so she could become a Registered Nurse. I also once wrote an affidavit supporting her when her own sister took the side of husband #2 in THAT custody battle.
The older sister’s affidavit also alleged drug abuse.
Cathy and I were very proud when this daughter became a nurse, but I marveled that she didn’t appear to understand how to keep from having an unexpected baby!
Aren’t nurses taught about that kind of stuff?
How Quickly things can Change
When Cathy was first diagnosed with lung cancer in April of 2017 we were told by the Oncologist that she probably had 12-18 months to live. Her attitude and willingness to fight to live were important factors for beating the cancer. I wrote about this journey in three previous Echo Magazine stories:
[1] Reflections of Hope from the Past, February 14, 2018
[2] Cancer Changes Everything, March 2018
[3] Consequences of Not Facing Reality, May 2018
Knowing Cathy-the-fighter, I was optimistic; I had heard from and read about many who have gone through the treatments and are alive today, cancer free. I had hope, and attended to her around the clock since the April diagnosis. Cathy had always been a strong-willed woman and partner, but this was difficult for me.
Between January and May of 2018 we had returned to our previous home of Juneau so I could work as Legislative aide to Eagle River legislator, Rep. Lora Reinbold. This was our last adventure together.
Our upper Eagle River mountainside home is a quiet, comfortable place to reflect on what is meaningful in life. It’s downright Transcendental!
Cathy was brave when the doctor introduced her to the Gamma-Knife Radiation treatment theater in February, 2018, with her drama queen youngest daughter. The cancer had metastasized to her brain. Cathy changed dramatically after this treatment. She would never again be the person I had known three decades. After this event I could not protect Cathy even with having her Power of Attorney prepared and signed together in our family doctor’s office.
Rule of Law Doesn’t Apply in Alaska Anymore
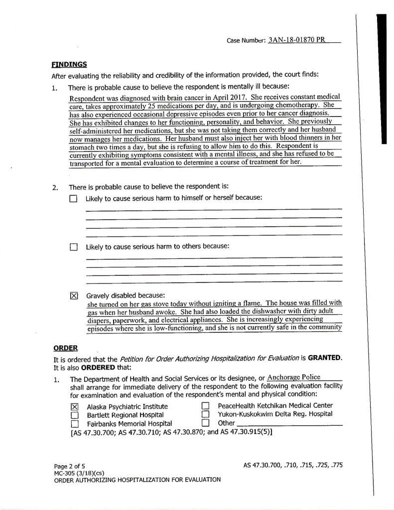
Inevitably chaos prevailed. Inside our home became a dump, Cathy’s legendary cooking skills vanished and I faced abundant challenges. Cathy placed electric appliances with dirty dishes–and even diapers–into the dishwasher and cycled them. This person I had trusted with everything dear to me–including finances–was very confused.
And despite the support offered by so many dear friends, I never felt so utterly alone
Early on I reached out; to the Alaska Cancer Society, and all the prospective support agencies. I came to the conclusion they must be paid by the number of referrals made between each other; not a one came to our home and looked at what I might do to deal with this whirling dervish.
Point of fact: From the beginning I asked Cat’s doctors for some help dealing with Cat’s regimen of some 25 medications–including opioids and fentanyl. She was managing them all, and in deference to her “right to have a say in her treatments,” I was stiff-armed–until we approached a pending catastrophe.
In June Alaska Regional Hospital finally assigned a Nurse Navigator to help us out, and she visited at the chemo treatment center. She made weekly phone calls to check in with us. On one notable call, I reported to her that Cat was at that moment walking down our road with a bag full of cleaning supplies, in her stocking feet, determined to go the five miles to Eagle River Walmart. I was following in our truck with flashers on and Cathy refused to get aboard. The Navigator listened to my description of the situation, and told me she will be calling again next week.
Good Luck!
By posting on our Facebook neighborhood closed group Cat was lovingly met at a lower bend in the road and this crisis was brought to a positive conclusion.
All this time stepdaughter is constantly in the background whispering into Cat’s ear on the landline. The cell phone I bought specifically for Cat when she last visited Ohio after radiation didn’t get used there and didn’t come home when Cat returned to Anchorage. That’s at least partially because Cathy couldn’t even operate a television remote anymore.
The daughter wasn’t an RN anymore, either, because she stole medications from the hospital where she was working and lost her license. She became a trophy wife, doting mother, busy-body with plenty of time on her hands and need for a new source of drugs. On Mother’s Day she called early to talk to Cat and Cat told me she didn’t want to talk. Chemo treatment had been administered the previous day and she wanted to sleep, Mothers Day or not.
I told the daughter this fact. She became indignant. Next she had the 5-year-old call–and Pappa talked to her, too–telling her Nanny would call back! Cathy had a telephone next to her bed and could have answered or joined these calls had she wanted to.
I told Cat of the calls.
Soon thereafter two Anchorage Police Officers showed up for a “welfare check.” I happily spoke to them and took them into our bedroom where Cat was able to have a meaningful weary conversation with them. They saw her meds were well organized, everything was in order, and she was indeed recovering.
I later found daughter’s allegations in the report called to APD to be incredible.
The next time step-daughter decided to create drama from Ohio was a call to APD alleging domestic violence! When Anchorage cops arrive on a call of DV, if there is any hint of abuse, somebody goes to jail. Further, you cannot touch anyplace on Cat’s body now and not cause a bruise, so such a charge is easy to make and hard to prove false. The incident which precipitated this charge was the result of Cat coming at me with clenched fist as if she was going to hit me. I simply grabbed both of her wrists and backed her up and sat her butt into her easy chair. She showed the officer she had bruises on her wrists.
I called our pastor while the cops were there and he came directly. My neighbor gave immediate testimony as to my character and what she knew about the situation. One cop made a call to the district attorney asking what to do.
I was ordered to stay a night in a hotel and leave my vulnerable wife ALONE.
From May forward I had been trying to accommodate this situation the best way I could, talking to professionals and looking at alternatives while caring for a woman inclined to do random crazy things. Every bag of household garbage had to be inspected thoroughly to discover what may be needed items for daily living.
The best option I thought might work was the Adult Daycare Activity Program at the Chugiak/Eagle River Senior Center. I might get some opportunity alone to deal with the house!
On the Monday I took Cat there she was enthused about all of the activities available, and she agreed to try it for the free week, during which I hoped to figure out how we would pay for it. She only made it one day. Backchannel discussions with her outside daughter were apparently undermining everything I was trying to do.
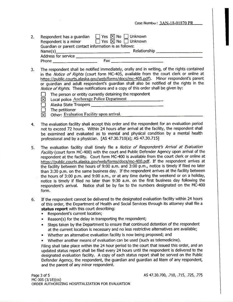
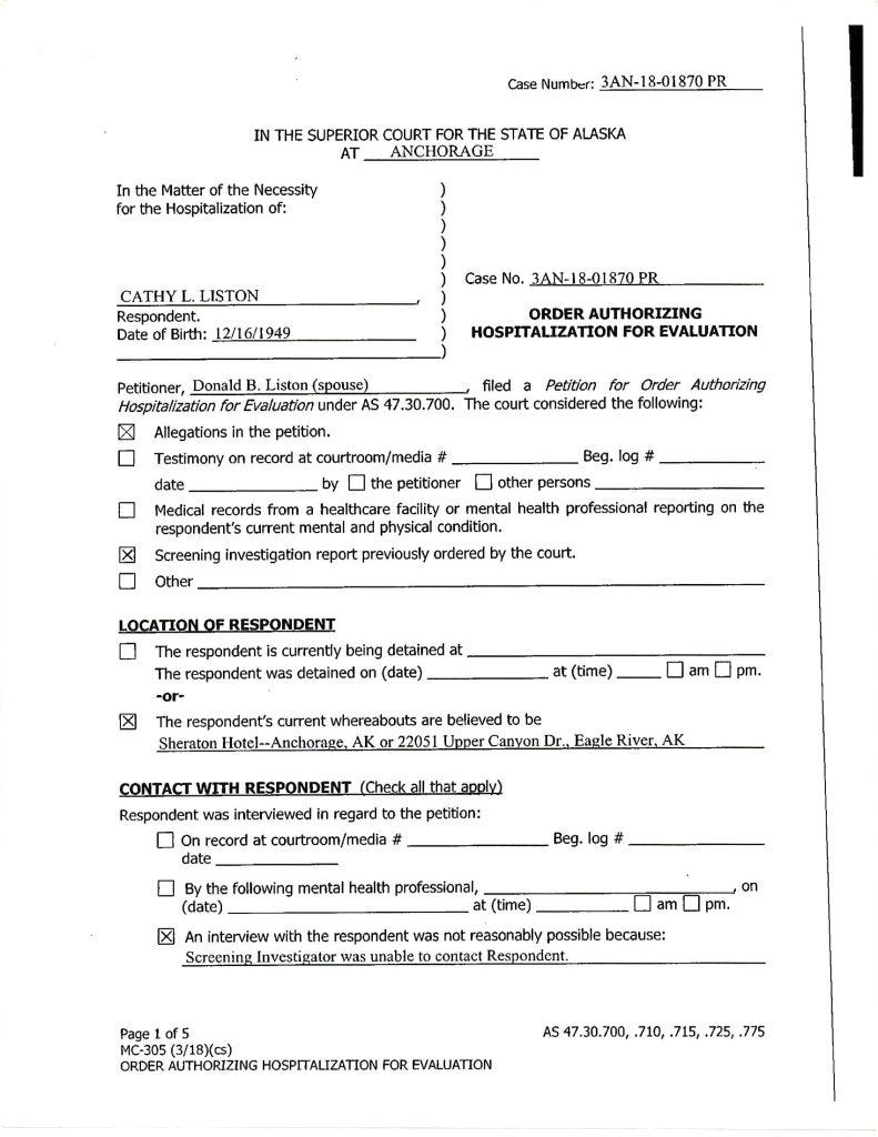
Soon another life-threatening action by Cathy required me to call her primary doctor and seek help. He suggested I apply for a court order for psychological evaluation, which I did.
[4] Order for Psych Exam, 3AN-18-01870PR
Incredibly, the Court Order to take Cathy to API for evaluation was Diverted by APD
This situation came to a head on Tuesday, July 17, at 1 a.m. Two Anchorage Police Department officers and the stepdaughter–with an unknown male companion—arrived at our home. I had known something was up from Cat’s agitation and childlike comments she made.
But what occurred was surrealistic–I will never get over this violation.
Although she could hardly walk, Cathy’s daughter hauled her mother (and whatever they could steal) down the driveway to an awaiting private vehicle.
I was restrained in the gazebo as stepdaughter–under APD escort–ransacked our home, removing business files, marital assets and whatever else she could allege her mother wanted.
Stepdaughter took charge of Cathy and Cathy’s drugs
I spent the entire next day replacing my driver’s license at DMV–stolen in my wallet under the watchful eyes of Anchorage’s Finest–and dealing with stolen credit cards. Fraudulently using my ID, they withdrew the pittance in my KeyBank account in Tacoma, WA, where the stepdaughter’s eldest daughter lives. The money was later returned because it was proven by bank investigators to have been taken fraudulently.
I was debilitated by my wife being kidnapped and taken to a place she hated. She had told me many times she wanted to die in Alaska and I felt I had let her down.
Later, from Ohio through the nonprofit Alaska Legal Services Agency they would allege domestic violence and file for divorce. Charges were dropped at the courthouse door when I appeared with my attorney and three witnesses.
Didn’t Cost Them a Penny
I had Cat’s Power of Attorney. I had a court order for a psychological examination requested with guidance of Cat’s doctors and a full investigation, but we don’t live in a state where Rule of Law matters anymore. Throughout our marriage I had only wanted what was best for Cathy, but she was abruptly taken out of state instead of receiving the help WE needed in Alaska.
This month–looking back over six years since Cat’s fateful first diagnosis of cancer–I have come to realize things CAN get worse because there are mixed up people in this state–and there are also evil people in this world–ready to exploit vulnerable Alaskans.
Watch this site for the story of next diabolical acts by Bill, Brenda and Waneta Borden, dba High Caliber Realty, Inc. (sic) at the darkest time of my life…
References:
[1]Reflections of Hope from the Past
Reflections of Hope from the Past
[2]Cancer Changes Everything (Story Hacked by Bill Borden)
[3]The Consequences of Not Facing Reality (Story Hacked by Bill Borden)
[4] Order for Psych Exam, 3AN-18-01870PR























