Who Cares about YOUR Kid’s Education?
A challenge for Alaska Parents
September, 27, 2025 (Update from August 11, 2020)As a teacher in training in Juneau I worked in a program providing outdoor experiences for young children. Before embarking on a group hike of the local area the kids had to be oriented to safe practices. One of the things we asked, while pointing at our face, was: Whose face is this?
They replied: Your face!
Then we asked, pointing at their faces: Whose face is that?
My face, they replied.
So, who is responsible for my face? we continued. And, who is responsible for your face? And if you are following somebody in the woods, and a branch hits YOUR face, whose fault is that?”
Alaska public education is now that branch hitting some hapless parents’ faces.
Today anybody with an Education from Alaska public schools is at great disadvantage if they want to live anyplace but here. Our specialized economy traditionally imports persons with special training and skills for top paying Alaska jobs; the rest work for the State of Alaska, in a unionized trade, or scratch out a living in the service sector. I have overcome the disadvantage of having an Alaska Public Education mostly with independent endeavor–and bluster.
But since March of this year the China pandemic has altered this dynamic. Ted Stevens International Airport is increasing as a hub for trade while our state and local economies are in free-fall. Parents are looking at the coming school year with trepidation as our unionized teachers join their national brothers and sisters in threatening to cower in place.
Parents may require new babysitters.
Perhaps this is a time to take a hard look at the factory model of Alaska public education and anticipate a better way. As an educator and trained teacher I have studied this. As an Alaskan I have lived it.
One of the arguments I recall my father making for coming to Alaska from New Mexico in the early 1960s was the reportedly high quality of the Anchorage School District (ASD) academic program. New Mexico was then at the bottom of the states for its schools–as it remains today. Alaska has joined New Mexico since then.
According to National Center for Education Statistics (NCES):
In math, 33 percent of Alaska 4th Grade students were proficient, ranking our state at a shameful 46th among the 50 states in 2019. This has not changed since 2003. At the NCES interactive web page comparisons can be made between Alaska and any other state of the nation.
[1]
Sponsored:Alaska Chalet Bed & Breakfast: Promoting Anchorage Hospitality!
Parents anticipating a move to Alaska can easily see the comparison.
Alaska’s standing in Grade 4 Math:
By 8th grade Alaska students’ average proficiency in math declined to 30 percent; only slightly above the rate of 2017. This has declined slightly since 2003, a time when Alaska was slightly above the national average in this area.
Alaska’s standing in Grade 8 Math:
Reading scores for Alaska 4th grade students were also among the lowest of the nation in 2019. Overall, 25 percent were proficient in Reading. This is a consistent theme of our Alaska schools.
Alaska’s standing in Grade 4 Reading:
And it Doesn’t Get ANY better.
By 8th grade Alaska reading proficiency on average declined to 23 percent average in 2019. It is not statistically significant from the rate in 2003.
Alaska’s Standing in Grade 8 Reading:
Smart parents considering a move to Alaska may not see our public education as being worthy of their children. Once my dad brought his wife and three kids here he had to supplement our education when we moved to rural Alaska. That hasn’t changed even in the face of an oil bonanza.
No Child Left Behind
In September 1999, then-Governor of Texas George W. Bush gave a speech to the Latin Business Association about education:
America needed to adopt the mindset that every child can learn, he said. “It does not matter if they grow up in foster care or a two-parent family. These circumstances are challenges, but they are not excuses.”
He continued:
Some say it is unfair to hold disadvantaged children to rigorous standards. I say it is discrimination to require anything less—the soft bigotry of low expectations. Some say that schools can’t be expected to teach, because there are too many broken families, too many immigrants, too much diversity. I say that pigment and poverty need not determine performance. That myth is disproved by good schools every day. Excuse-making must end before learning can begin.
[2] 8th Grade in Yakutat, AK, DONN LISTON June 16, 2024
https://donnliston907.substack.com/p/8th-grade-at-yakutat-ak
This is the reality: We have an education model based on more than 50 independent school districts, each with its own School Board, Superintendent, and administrative structure soaking up State money like a sponge as designated by our Alaska Legislature in backwater Juneau . The majority of teachers are actively recruited from Outside. To add insult to injury, in January of 2019 the University of Alaska Anchorage School of Education programs lost accreditation.
[3] UAA School of Education programs lose accreditation, Anchorage Daily News, Michelle Theriault Boots, January 15, 2019
Live Links in References
Our system is more about wealth distribution than about education. Every local school board is like a little bird in a nest with its mouth open.
The Pandemic Opportunity
I was in Juneau when public education “charter schools” were legalized in a bill introduced in 1995 by Sen. Bettye Davis. As an employee of NEA-Alaska I was surprised that such a tried and true friend of the teacher union would introduce such legislation diverting school children from traditional programs to parent-directed learning. I know now that this legislation turned out to be a pre-emptive move to assure that all Charter Schools in the state have the same union teachers on their Alaska Adventure as have been delivering poor results for decades.
[4] Initial Charter School Legislation (1995)
Live Links in References
Today there are all manner of Charter schools and home school support programs sponsored by school districts for parents who have lost faith in our education factories. Some must be drawn by lottery and parents provide transportation for their kids.
Such a Deal.
A Closer Look at Our Dismal Education Profile
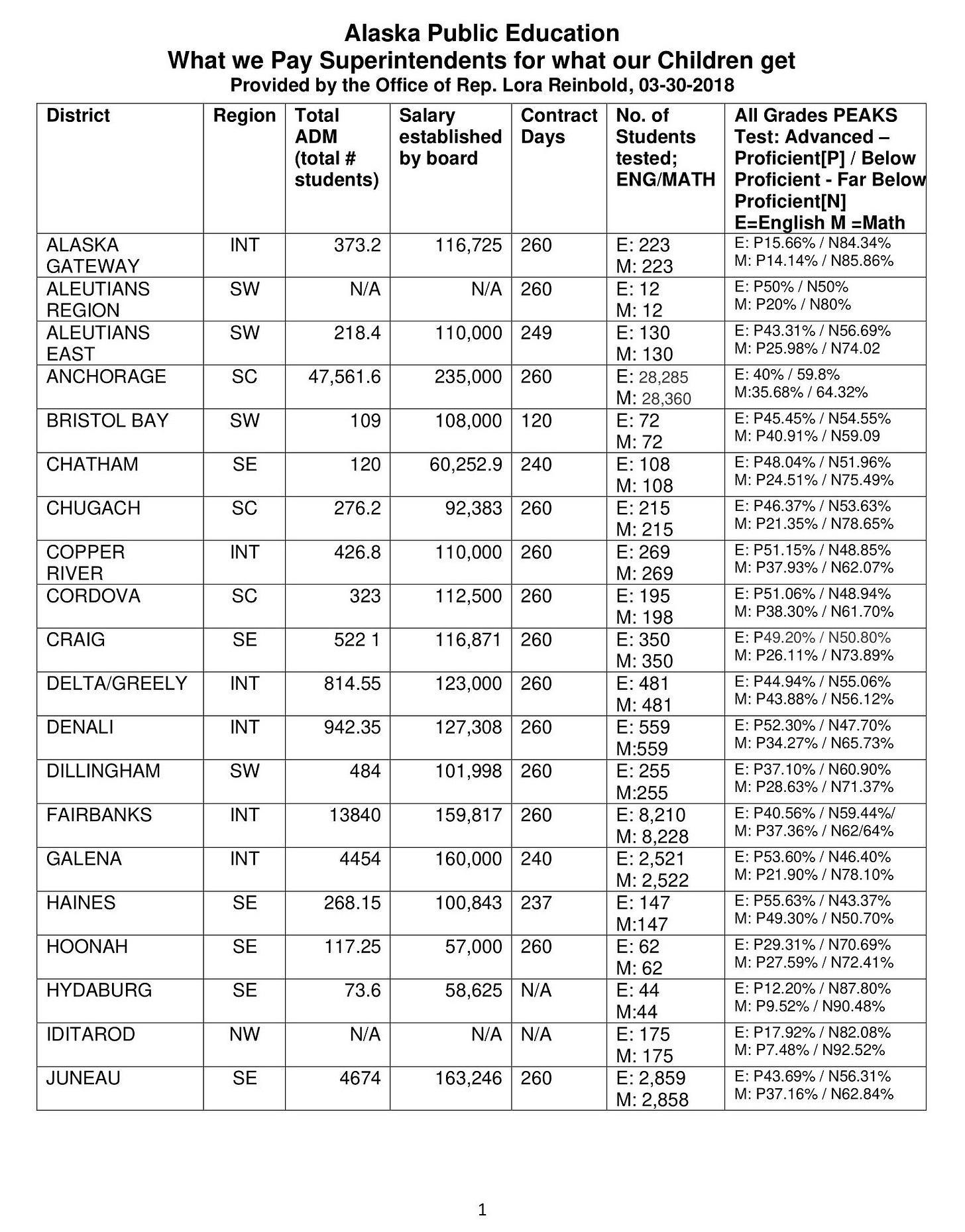
In 2018, as staff for Rep. Lora Reinbold, I correlated the salaries paid for superintendents in all of Alaska’s school districts with the performance of students as measured by the PEAKS test. I gathered information from the Association of Alaska School Boards (AASB), where I had worked during the mid-1980s as a database technician in Juneau. Back then I helped set up the statewide information gathering system used to support contract negotiations when Alaska still cared about keeping education costs down. AASB gave up that goal long ago except to keep track of the numbers for advocacy purposes, and today school boards are just another special interest group that converges on the legislature every year insisting on more education funds to pay mostly expendable teachers despite declining enrollments and ever declining academic outcomes.
We know The Dark Triad is prevalent today in Backwaters Juneau specifically because Alaska lawmakers do not recognize their obligation to obey the law regarding distribution to Alaskans of the Alaska Permanent Fund dividend. Instead AK Elected officials go to Juneau to pass record budgets.
This Denies the Promise of the Past
[5] Juneau’s Machiavellian Dysfunction (MD) DONN LISTON August 5, 2025
Live Links in References
They Have NO Shame
Every district is monitored by the Alaska Department of Education annual testing program. Substantial amounts are directed to each district by the legislature. The state budget passes only once the education budget has been approved by NEA-Alaska and associated groups aligned with various special interests. Here is the published chart of academic outcomes compared to economic commitment in terms of district superintendent salaries and benefits:
To consider alternatives to our broken education system at this time we must understand it as we might a Money-Pit Home we cannot afford anymore. Parents must decide the future of this system and direct elected officials and education bureaucrats to deliver academic results.
Notice that the data in these spreadsheets is organized by region. Southeast Alaska has some 17 districts fed directly from $Juneau$. Southcentral Alaska has the bulk of students in only 5 districts. Interior includes the Fairbanks North Star Borough. Southwest, and Northwest districts are in the unincorporated borough. These regions represent natural education areas, and could perhaps be aligned with Native Corporations established under the Alaska Native Claims Settlement Act, for efficiencies of scale and regional autonomy.
This is a scam. Proficiency rates are notoriously low and The Alaska Department of Education, the Alaska Legislature and every Alaska school district knows the status of our state’s public education outcomes, yet they continue to whistle past the graveyard.
During the same 30th legislative session when I created the above chart of district performance, Commissioner Michael Johnson presented the Alaska Department of Education version of reality.
From the report:
No reference to academic proficiency. Responsibility for “educational excellence” is with the tribal and community rather than to the State of Alaska or the many professionals engaged in delivery of public education.
[6] Report to the Alaska State Legislature 2018
The Entire System is a Fountain of Happytalk.
We who have survived this system have witnessed normalization of the steady and precipitous decline of academically-driven public education despite untold opportunity for decision makers to address inadequate public education in Alaska.
It Is Time to Take Action!
The obligation and responsibility to train children has been termed The Intergenerational Transfer Of Cognitive Skills and is today a cornerstone of Adult Basic Education (ABE) of adults who did not finish traditional high school. The ABE system began in 1941 when young men returning from serving in the military during war needed skills to be employable in the economy.
In 2014 the entire GED was upgraded to nationally-normed 12th grade competency. I helped many people get their GED over nine years. In Alaska it is administered through the Department of Labor, not the Department of Education.
Self-Directed Education
The General Equivalency Degree was originally established during the early 1940s for military personnel returning from serving their country during World War II. Many left home before graduating high school, but service in war had been an education. Now they needed meaningful work. As public education bustled with baby-boomers seeking their American Dreams in schools designed as education factories after the war, many who were unable to be successful in public education either quit, gave up or were kicked out. There may be other reasons for needing a GED, but Alaska has traditionally suffered a high number of “drop-outs.” Today somewhere between 60-80 percent of public school students who started in kindergarten graduate high school in Alaska.
[7] GED for ALL! …it’s not just for “Drop-outs.” DONN LISTON March 14, 2016
Live Links in References
In that teaching job I became familiar with Intergenerational transfer of Cognitive Skills through the work of former Harvard Professor, Tom Sticht, PHd who began his career by supplementing traditional public education to make recruits adequate for military service.
As a researcher, Dr. Sticht contributed to the knowledge of early childhood education, and conducted the first conference on Intergenerational Transfer of Cognitive Skills. Many articles were published by him on the role of oral language and the transfer of literacy.
[8] National Center for the Study of Adult Learning and Literacy (NCSALL)
Live Links in References
New Expectations of Education
The China Pandemic has impacted public education by instituting fear of face-to-face contact for vulnerable people who are dis-proportionally impacted by the illness. Political leaders have determined what emergency measures are necessary given medical realities. In March the schools were closed and on-line options substituted for classroom interactions between teachers, aides and students.
Ultimately parents are in charge of directing their children’s learning. They must find a way to do this while also attempting to participate in the economy to support their families.
In his academic writings Dr. Sticht presents the background for a previous time when the United States was faced with a need to educate people who had been denied meaningful education:
In the Antebellum period, the education of African American slaves was generally forbidden by various state laws. For instance, acts passed by the General Assembly of North Carolina in 1830 made it a crime punishable by thirty-nine lashes to teach “slaves to read and write, the use of figures excepted” (Jacobs, 1861/1987, p. 270). Nonetheless, many adult slaves were taught to read and write by abolitionist whites or other slaves. Some learned from their masters or by overhearing tutors working with their masters’ children or by other surreptitious means (Woodson, 1919/1968).
With conclusion of the Civil War the United States had to find a way to educate people who had expressly been denied education. The schools were inadequate for the job and many former slaves attended night classes at local schoolhouses to learn what they needed to know to be productive citizens.
Smart parents must now find ways to educate the next generation of Alaskans despite Teacher Union educrats with only tin cups and bluster.
References:
[1] National Center for Education Statistics
https://www.nationsreportcard.gov/profiles/stateprofile/overview/
[2] 8th Grade in Yakutat, AK, DONN LISTON June 16, 2024
https://donnliston907.substack.com/p/8th-grade-at-yakutat-ak
[3] UAA School of Education programs lose accreditation, Anchorage Daily News, Michelle Theriault Boots, January 15, 2019
https://www.adn.com/alaska-news/education/2019/01/17/uaas-teacher-preparation-programs-lost-accreditation-how-did-it-happen-and-whats-next/
[4] Initial Charter School Legislation (1995)
http://www.akleg.gov/basis/Bill/Slalookup?sla=1%20ch%2077%20SLA%201995#1
[5] Juneau’s Machiavellian Dysfunction (MD) DONN LISTON August 5, 2025
https://donnliston907.substack.com/p/juneaus-machiavellian-dysfunction
[6] Report to the Alaska State Legislature 2018
https://education.alaska.gov/akedchallenge
[7] GED for ALL! …it’s not just for “Drop-outs.” DONN LISTON March 14, 2016
https://donnliston907.substack.com/p/the-ged-not-just-for-drop-outs
[8] National Center for the Study of Adult Learning and Literacy (NCSALL)
http://ncsall.net/index.html@id=576.html
More on Dr. Sticht, from Wikipedia:
Dr. Thomas Sticht was awarded UNESCO’S Mahatma Gandhi Medal
for his twenty-five years of service and dedication.[1]Sticht created Functional Context Training for the U.S. Military. His biggest contribution has been his research on improving the literacy skills for the new recruits of the United States Army, Navy, and Air Force.
Functional Context Training is an instructional approach, pioneered by Tom Sticht, that emphasizes making learning relevant to the learner’s real-world experience by integrating new information with existing knowledge in a practical context, such as work—defined as instructional strategy that integrates the teaching of literacy skills and job content to move learners more successfully and quickly toward their education and employment goals. Sticht later developed a training program to elevate literary skills in adult learners. Functional context training stresses on building upon prior knowledge to construct new concepts to accomplish difficult tasks. Sticht proposed that instructors should formulate better learning environments that incorporate real world situations to increase students’ performance.
Sticht’s model of Cognitive system consisted of three components:
1. Knowledge based (prior knowledge of the learner)
2. Processing skills (problem solving, language skills, and learning strategies)
3. Information displays that present information.
The Functional Context approach recommends new assessment methods such as measuring functional learning and academic learning.
[1] “The Intergenerational Effects of Adult Education”. Literacy Coalition of Onondaga County. August 13, 2012. Archived from the original on April 2, 2015. Retrieved March 3, 2015.


















